A Study of Digital Banking Usage Intentions inHong Kong based on Consumer Characteristics
Article Main Content
Virtual banks, also known as neobanks, challenger banks, digital banks, or online-only banks, have rapidly developed globally and in Asia. Since their inception in Hong Kong nearly four years ago, user numbers have reached 2.2 million. However, these banks face fierce competition and numerous challenges. This study aims to explore the impact of system quality, interface design, security assurance, service quality, utilitarian expectations, word-of-mouth, brand image, reward systems, and consumer characteristics on the adoption intentions of virtual banks in Hong Kong, seeking to uncover new insights. Utilizing a triangulation method, the study combines a literature review, focus groups, a small pre-test survey, and a large-scale survey to gather both qualitative and quantitative data. A total of 259 valid questionnaires were collected using the snowball sampling method and analyzed with SPSS for correlation analysis. The results indicated that all eight hypothesized factors showed significant relationships and four notable differences were found in consumer characteristics. The research revealed that many citizens misunderstand or are concerned about the safety and stability implied by the term “Virtual” in virtual banks. It is recommended that related institutions consider changing the term “Virtual” in virtual banks to something like “Licensed Digital Bank.” Additionally, it is suggested to enhance promotional efforts through comprehensive communication strategies to increase public awareness and confidence in the safety, stability, and deposit protection of virtual banks. Optimizing the banks’ unified user interface can improve customer experience, enhance brand competitiveness, and yield benefits that exceed costs. Furthermore, increasing account opening rewards to attract new users and adding reward tiers to boost user activity and loyalty are recommended.
Introduction
Innovations in fintech, especially virtual banks, have drawn significant academic interest. These advancements integrate cutting-edge technology and digital strategies to redefine financial services, enhancing efficiency, convenience, and security (Shantiet al., 2024). Fintech has evolved gradually and is now entering a new phase (Sardar & Anjaria, 2023). As society shifts towards cashless transactions, digital banking continues to grow (Lindström & Nilsson, 2023). A survey by the American Bankers Association found that 71% of consumers prefer managing accounts via mobile apps or computers (ABA, 2023). This trend coincides with the decline of traditional banking, with over 2500 U.S. branches closing in 2023 (Bankrate, 2024).
Virtual banks—also known as neobanks, challenger banks, digital banks, or online-only banks—represent a key aspect of modern fintech. They offer comprehensive online services without physical branches, improving convenience and efficiency (HKMA, 2018; Statista, 2024a). Naming varies globally; for instance, “Direct Banks” in China, “Internet-only Banks” in Taiwan, and “Digital Banks” in Singapore (forbes.com, 2024).
In 2018, virtual banks’ total value reached US$18.6 billion with 26 million users (Business Insider, 2019). By 2022, there were 397 virtual banks globally (Simon-Kucher, 2022). Their transaction volume is projected to reach US$6.37 trillion in 2024, with user penetration rising to 4.82% by 2028 (Statista, 2024b). Revenue is expected to grow from US$96 billion in 2023 to over US$2 trillion by 2030 (cnbc.com, 2023).
The Hong Kong Monetary Authority (HKMA) initiated virtual banks in 2017, issuing 8 licenses in 2019 (HKMA, 2019). By 2023, Hong Kong had 2.2 million virtual bank customers (HK01, 2024). However, the market faces challenges: overlapping users, over 50% dormant accounts, and average deposits much lower than traditional banks. Virtual banks’ total deposits account for only 0.2% of Hong Kong’s HK$15.4 trillion in customer deposits, with ongoing losses (fintechnews.hk, 2024b). Despite these issues, the small market share indicates significant growth potential. Understanding usage intentions and related factors is crucial for improving virtual banking services, market strategies, and customer relationships.
Literature Review
Virtual banks represent a major fintech innovation, driving the digital transformation of traditional banking by providing comprehensive online services without physical branches, thereby enhancing convenience and efficiency. Key stakeholders include regulatory authorities, investors, employees, partners, customers, and the public, with customers and the public being particularly crucial.
System Quality
System quality is essential for evaluating information system performance and directly influences user acceptance and continued use (Ivanova & Noh, 2022). In virtual banks, it impacts transaction security, operational convenience, and information processing effectiveness.
User Interface Design
User interface design significantly affects the user experience in virtual banks (Ivanova & Noh, 2022). Effective design enhances usage intentions and builds trust. As fintech evolves, research in this area has become increasingly important.
Security Assurance
Security assurance is fundamental in virtual banking, addressing concerns about financial transaction security (Ivanova & Noh, 2022). It plays a critical role in building user trust and willingness to use virtual banks.
Service Quality
Service quality is a key competitive indicator for virtual banks, directly influencing user satisfaction, loyalty, and continued usage behavior (Ivanova & Noh, 2022; Dharmawanet al., 2023).
Utilitarian Expectation
Utilitarian expectations relate to the practical benefits users expect from tech products. In virtual banks, understanding these expectations is crucial for predicting usage intentions (Nagyet al., 2024; Kamdjouget al., 2021).
Word of Mouth
Word of mouth, amplified by social media, is vital for virtual banks due to the lack of physical touchpoints. It significantly affects user growth and brand image (Yip & Mo, 2020; Ansary & Nik Hashim, 2018).
Brand Image
Brand image, reflecting consumers’ perceptions and emotions toward a brand, is critical in the competitive virtual banking sector (Islamiet al., 2023). It helps attract new customers and retain existing ones, thereby increasing usage intentions (Ansary & Nik Hashim, 2018; Hsu, 2023).
Rewards
Reward systems, such as cashback and points rewards, are effective in promoting virtual banking services and building user loyalty, significantly enhancing customer satisfaction and continued use (Matousek & Xiang, 2021; Hsu, 2023).
Intention to Use
Intention to use indicates the likelihood of future consumer use of virtual banking services. It is influenced by factors such as system quality, interface design, and security, and predicts technology acceptance and adoption behavior (Ansary & Nik Hashim, 2018; Xuet al., 2019; Rakibet al., 2022).
Consumer Characteristics
Consumer characteristics, encompassing personal traits that influence behavior, are important for understanding how different users interact with virtual banks and affect their acceptance and use of fintech products (Srivastavaet al., 2024; Merhiet al., 2021).
Hypothesized Relationships of Factors
1. System Quality and Service Quality: System quality influences virtual banking service quality, impacting reliability, response time, availability, adaptability, and ease of use. It affects user satisfaction and loyalty (Ivanova & Noh, 2022; Parasuramanet al., 1988):
H1: System quality positively impacts the service quality of virtual banks in Hong Kong.
2. User Interface Design and Service Quality: Intuitive, aesthetic, and personalized interface design enhances user experience and service quality, influencing satisfaction and loyalty (Ivanova & Noh, 2022; Norman, 2013):
H2: User interface design positively impacts the service quality of virtual banks in Hong Kong.
3. Security and Service Quality: Security, crucial for protecting personal information and funds, significantly influences trust and satisfaction in virtual banking (Ashfaqet al., 2020):
H3: Security positively impacts the service quality of virtual banks in Hong Kong.
4. Service Quality and Usage Intention: Service quality affects consumers’ usage intentions, impacting satisfaction and loyalty through reliability, responsiveness, assurance, empathy, and tangibility (Ivanova & Noh, 2022; Norman, 2013):
H4: Service quality positively impacts the usage intention of virtual banks in Hong Kong.
5. Utilitarian Expectations and Usage Intention: Utilitarian expectations, such as time savings and cost reduction, significantly influence usage intentions in fintech (Kamdjouget al., 2021; Venkateshet al., 2003):
H5: Utilitarian expectations positively impact the usage intention of virtual banks in Hong Kong.
6. Word-of-Mouth and Usage Intention: Informal consumer communication and electronic word-of-mouth (eWOM) significantly influence trust and consumer behavior (Yip & Mo, 2020; Ansary & Nik Hashim, 2018):
H6: Word-of-mouth positively impacts the usage intention of virtual banks in Hong Kong.
7. Brand Image and Usage Intention: A strong brand image is crucial for attracting and retaining customers, influencing trust and usage intentions (Ansary & Nik Hashim, 2018; Islamiet al., 2023):
H7: Brand image positively impacts the usage intention of virtual banks in Hong Kong.
8. Reward Systems and Usage Intention: Reward systems, such as high deposit interest rates and attractive offers, enhance usage intentions by increasing perceived value and satisfaction (Hsu, 2023; HKAB, 2023):
H8: Reward systems positively impact the usage intention of virtual banks in Hong Kong.
9. Consumer Characteristics and Usage Intention: Consumer characteristics such as gender, age, education level, and income significantly affect virtual banking usage intention (Srivastavaet al., 2024). Prior usage experience also impacts acceptance and usage intention (Merhiet al., 2021). Higher education levels and younger, tech-savvy consumers are more inclined to adopt virtual banking (Marsasiet al., 2023; Anet al., 2023):
H9a: Gender significantly affects Hong Kong consumers’ intention to use virtual banks.
H9b: Age significantly affects Hong Kong consumers’ intention to use virtual banks.
H9c: Education level significantly affects Hong Kong consumers’ intention to use virtual banks.
H9d: Income level significantly affects Hong Kong consumers’ intention to use virtual banks.
H9e: Previous use of virtual banks significantly affects usage intention.
After reviewing all the literature, the proposed theoretical model has been set as Fig. 1.
Fig. 1. Proposed theoretical model.
Research Methods
This study uses a triangulation approach (Alenizi, 2023), combining quantitative and qualitative data analysis, including literature review, focus groups, interviews, a pre-test survey, and a large-scale survey. Data analysis was conducted using SPSS version 29.
Data Collection
The study had a two-part approach. First, it reviewed academic literature and other secondary sources to supplement the research. Second, it collected primary data through qualitative methods-a focus group and individual interviews-to design and administer a questionnaire. This was followed by a large-scale online survey using snowball sampling method (Parkeret al., 2019) for the quantitative phase.
Sampling Objects
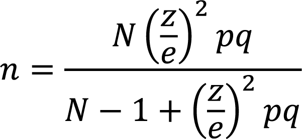
The study targets Hong Kong residents aged 18 and above. According to the Hong Kong Census and Statistics Department, the target population for this study was N = 6,565,000 by the end of 2023 (HKCSD, 2024). Considering a 95% confidence level, a confidence interval of 1.96, and a 5% margin of error, with a success probability of 0.79 and a failure probability of 0.21, the minimum required sample size is 255 (see Fig. 2).
Fig. 2. The formula for the minimum required sample size.
Questionnaire Design
The questionnaire used a five-point Likert scale (Likert, 1932) from “strongly disagree” to “strongly agree,” with demographic questions at the end. A pilot test with 43 participants led to revisions, reducing the questionnaire from 44 to 37 questions to improve quality (Table I).
| Variables | Factor | Keywords | References |
|---|---|---|---|
| Ind. | System Quality (SysQua) | (1) Compatible, stable, smooth | (Ivanova & Noh, 2022) |
| (2) Fast app response | |||
| (3) Timely, effective support | |||
| Ind. | User Interface (UseInt) | (1) Easy app use | (Ivanova & Noh, 2022) |
| (2) Beautiful app design | |||
| (3) Easy menu navigation | |||
| Ind. | Security Assurance (SecAss) | (1) High security | (Ivanova & Noh, 2022) |
| (2) Transparent transactions | |||
| (3) Safer cybersecurity | (Kamdjouget al., 2021) | ||
| Ind. | Service Quality (SerQua) | (1) Meets daily needs | (Ivanova & Noh, 2022) |
| (2) Satisfied with inquiries | |||
| (3) Satisfied with services | |||
| (4) Overall satisfaction | |||
| Ind. | Utilitarian Expectation (UtiExp) | (1) Financial control | (Kamdjouget al., 2021) |
| (2) Effective financial mgmt. | |||
| (3) Good account management | |||
| (4) Easier than others | |||
| (5) No geographic limits | |||
| Ind. | Word of Mouth (WorMou) | (1) Seek advice first | (Ansary & Nik Hashim, 2018) |
| (2) Likely accept advice | |||
| (3) Likely choose recommendations | |||
| Ind. | Brand Image (BraIma) | (1) Better features | (Ansary & Nik Hashim, 2018) |
| (2) Top industry brand | |||
| (3) Stable, reputable | |||
| (4) Logo as factor | (Reyeset al., 2018) | ||
| Ind. | Rewards (Rew) | (1) New account rewards | (Hsu, 2023) |
| (2) Tier rewards | |||
| (3) Encourages tier rewards | |||
| Dep. | Intention to Use (Int) | (1) Willing to use | (Xuet al., 2019) |
| (2) Continue using | |||
| (3) Recommend to others | |||
| (4) Plan to use | (Rakibet al., 2022) | ||
| Consumer Characteristics | |||
| Gender | (1) Male; (2) Female | ||
| Age | (1) 18–30 years old; (2) 31–40 years old; | (Srivastavaet al., 2024) | |
| (3) 41–50 years old; (4) 51–60 years old; | |||
| (5) 61 years old or above | |||
| Education level | (1) Primary school or below; | ||
| (2) Middle school; | |||
| (3) College; (4) Undergraduate; | |||
| (5) Master degree or above | |||
| Income (HK$) | (1) 15,000 or less; (2) 15,001–25,000; | ||
| (3) 25,001–35,000; (4) 35,001–45,000; | |||
| (5) 45,001–55,000; (6) 55,001 or above | |||
| Ever used virtual bank? | (1) Never used; (2) Ever used;(3) Now in use | ||
Results
The analysis of qualitative data uncovers the reasons behind new phenomena and their development, providing a deeper understanding of the research topic (Hausken-Sutteret al., 2023). Meanwhile, the quantitative data empirically supports the research hypotheses, quantifying the findings with statistical data. This combined methodology allows for a multi-faceted examination of the data and enhances the interpretation of the survey results (Schoonenboom, 2023).
Descriptive Analysis
The descriptive analysis of this study is divided into two parts: one analyzes the qualitative data from the focus group and individual interviews, while the other analyzes the quantitative data from the questionnaire.
Focus Group and Individual Interviews
This study conducted a focus group with six participants and individual interviews with 8 participants to examine the factors influencing the intention to use virtual banks. The responses indicated that system quality and interface design are crucial factors. Most participants emphasized the importance of virtual banks having a user-friendly mobile application interface and providing an efficient and secure transaction environment. Users particularly expect swift resolution of any system issues.
Security emerged as a major concern among respondents. Many expressed anxieties over the lack of physical branches in virtual banks, which they perceived as a potential risk to their funds’ safety, and some even feared the possibility of bank insolvency. This misunderstanding and unease about the term “virtual” suggest that public trust in virtual banks needs significant enhancement.
In terms of service quality, users expect easy access to customer support and hope that virtual banks will offer faster services compared to traditional banks. Utilitarian expectations also play a significant role, with many users choosing virtual banks due to account opening rewards, high-interest deposits, and cashback offers.
Brand image and word of mouth also impacted usage intentions. Some participants expressed that the lack of physical branches made virtual banks seem less stable than traditional banks, leading to misunderstandings and unease about the “virtual” aspect of the banks.
Overall, while virtual banks have advantages in system quality and interface design, security and stability remain major barriers to their widespread acceptance.
Questionnaire Survey
A total of 43 interview questionnaires and 216 online questionnaires were collected. The final valid sample consisted of 259 individuals, including 146 males and 113 females. There were no restrictions on gender, age, income, education level, or prior experience with virtual banks (see Table II) to ensure the credibility and diversity of the questionnaire results.
| Respondent characteristics | Category | Number of people (N) | Percentage (%) |
|---|---|---|---|
| Questionnaires collected | Interview method | 43 | 16.6 |
| Network | 216 | 83.4 | |
| Total | 259 | 100 | |
| Gender | Male | 146 | 56.4 |
| Female | 113 | 43.6 | |
| Age | 18–30 years old | 35 | 13.5 |
| 31–40 years old | 84 | 32.4 | |
| 41–50 years old | 92 | 35.5 | |
| 51–60 years old | 29 | 11.2 | |
| 61 years old or above | 19 | 7.3 | |
| Education level | Primary school or below | 14 | 5.4 |
| Middle school | 75 | 29.0 | |
| College | 83 | 32.0 | |
| Undergraduate | 65 | 25.1 | |
| Master degree or above | 22 | 8.5 | |
| Income (HK$) | 15,000 or less | 27 | 10.4 |
| 15,001–25,000 | 52 | 20.1 | |
| 25,001–35,000 | 86 | 33.2 | |
| 35,001–45,000 | 54 | 20.8 | |
| 45,001–55,000 | 23 | 8.9 | |
| 55,001 or above | 17 | 6.6 | |
| Ever used virtual bank? | Never used | 110 | 42.5 |
| Ever used | 53 | 20.5 | |
| Now in use | 96 | 37.1 |
Average Analysis of Quantitative Data
This questionnaire includes nine factors, each comprising three to five questions, totaling 32 questions. Responses are rated on a 5-point Likert scale (Likert, 1932), with 1 indicating “strongly disagree” and 5 indicating “strongly agree.” The item with the highest average score best represents respondents’ intentions, while the item with the lowest score least represents them. Among the nine factors, utilitarian expectation has the highest average score (4.01), and intention to use has the lowest average score (3.58) (Table III).
| Descriptive statistics | |||||
|---|---|---|---|---|---|
| Factor | Question | Minimum | Maximum | Mean | Standard deviation |
| SysQua | 2 Fast app response | 1 | 5 | 3.92 | 0.847 |
| 3 Timely, effective support | 1 | 5 | 3.59 | 0.920 | |
| UseInt | 1 Easy app use | 1 | 5 | 3.91 | 0.883 |
| 2 Beautiful app design | 1 | 5 | 3.82 | 0.868 | |
| 3 Easy menu navigation | 1 | 5 | 3.82 | 0.876 | |
| SecAss | 3 Safer cybersecurity | 1 | 5 | 3.86 | 0.917 |
| 1 High security | 1 | 5 | 3.72 | 0.944 | |
| SerQua | 1 Meets daily needs | 1 | 5 | 3.85 | 0.915 |
| 2 Satisfied with inquiries | 1 | 5 | 3.59 | 0.887 | |
| UtiExp | 5 No geographic limits | 1 | 5 | 4.01 | 0.824 |
| 3 Good account management | 1 | 5 | 3.70 | 0.932 | |
| WorMou | 2 Likely accept advice | 1 | 5 | 3.71 | 0.939 |
| 1 Seek advice first | 1 | 5 | 3.63 | 0.957 | |
| BraIma | 4 Logo as factor | 1 | 5 | 3.90 | 0.852 |
| 1 Better features | 1 | 5 | 3.73 | 0.820 | |
| Rew | 1 New account rewards | 1 | 5 | 3.80 | 0.944 |
| 3 Encourages tier rewards | 1 | 5 | 3.67 | 0.922 | |
| Int | 1 Willing to use | 1 | 5 | 3.94 | 0.836 |
| 3 Recommend to others | 1 | 5 | 3.58 | 0.951 | |
Reliability Analysis
Cronbach’s alpha value of 0.7 is considered acceptable reliability (Tavakol & Dennick, 2011). In this study, the alpha coefficients were 0.974 (face-to-face) and 0.972 (online), both exceeding 0.7. All variables have values between 0.804 and 0.921, indicating very high internal reliability (see Table IV).
| Variables | Collection quantity | Cronbach’s alpha |
|---|---|---|
| System Quality (SysQua) | 0.856 | |
| User Interface (UseInt) | 0.804 | |
| Security Assurance (SecAss) | 0.873 | |
| Service Quality (SerQua) | 0.893 | |
| Utilitarian Expectation (UtiExp) | 0.921 | |
| Word of Mouth (WorMou) | 0.86 | |
| Brand Image (BraIma) | 0.902 | |
| Rewards (Rew) | 0.919 | |
| Intention to Use (Int) | 0.872 | |
| Data collection method | ||
| Face-to-face interview method | 43 | 0.974 |
| Online collection | 216 | 0.972 |
| Total | 259 | 0.972 |
Correlation Analysis
After carrying out a correlation analysis, it is concluded that the Pearson coefficient value (Pearson, 1895) of the relationship between system quality and service quality, the coefficient value of user interface design and service quality, the coefficient value of security assurance and service quality, the coefficient value of service quality and intention to use, the coefficient value of utilitarian expectation and intention to use, the coefficient value of word of mouth and intention to use, the coefficient value of brand image and intention to use, the coefficient value of rewards and intention to use are 0.666, 0.682, 0.677, 0.694, 0.681, 0.604, 0.525 and 0.595, respectively (Table V).
| Hypothesis | Variables | Correlation (r) | Strength of correlation |
|---|---|---|---|
| H1 | SysQua→SerQua | 0.666** | Moderate |
| H2 | UseInt→SerQua | 0.682** | Moderate |
| H3 | SecAss→SerQua | 0.677** | Moderate |
| H4 | SerQua→Int | 0.694** | Moderate |
| H5 | UtiExp→Int | 0.681** | Moderate |
| H6 | WorMou→Int | 0.604** | Moderate |
| H7 | BraIma→Int | 0.525** | Moderate |
| H8 | Rew→Int | 0.595** | Moderate |
The analysis results show that the relationship between each group of variables is positively correlated. The Pearson coefficient value is in the range from 0.525 to 0.694, which shows moderate or high positive correlation; a high correlation coefficient is also very significant, where all the p values are below 0.001, which is less than the significance level α = 0.01, indicating that each group of variables has a significant relationship between them.
Independent Samples t-Tests
This study conducted independent sample t-tests to examine the intention to use virtual banks between male and female respondents (H9a). According to Table VI, four intention-to-use items were analyzed.
| Question | Levene | t | df | p-value | Mean difference | Standard error of the difference | |
|---|---|---|---|---|---|---|---|
| Single-sided | Double-sided | ||||||
| Int1 | 0.015 | 1.115 | 238.075 | 0.133 | s | 0.117 | 0.105 |
| Int2 | 0.312 | 0.795 | 257 | 0.214 | 0.428 | 0.087 | 0.109 |
| Int3 | 0.241 | −1.053 | 257 | 0.147 | 0.293 | −0.125 | 0.119 |
| Int4 | 0.909 | 0.286 | 257 | 0.388 | 0.775 | 0.033 | 0.115 |
For the first item (Int1), Levene’s test for equality of variances showed a significance value of 0.015. Since this value is less than 0.05, the data were interpreted using “unequal variances not assumed.” The mean t-value was 1.115 with a one-sided p-value of 0.133.
For the second to fourth items (Int2, Int3, and Int4), Levene’s test significance values were 0.312, 0.241, and 0.909, respectively. Since these values are greater than 0.05, the data were interpreted using “equal variances assumed” (Tukey, 1949). The mean t-values were 0.795, −1.053, and 0.286, with corresponding one-sided p-values of 0.214, 0.147, and 0.388.
As all p-values exceed the 0.05 significance threshold, the results indicate no statistically significant difference in the intention to use virtual banks between genders, thus rejecting hypothesis H9a.
One-Way ANOVA
This study uses one-way variance analysis to analyze the differences in the intention to use virtual banks among consumers of different ages, education levels, and monthly incomes, and ever used a virtual bank. Post hoc, multiple companies are using Tukey’s rule (Tukey, 1949) for equal variance assumed.
Single Factor Variance Analysis of Usage Intention in Different Age Groups
This study analyzed different age groups as a single factor, using “intention to use” as the measured variable. The effective sample size for the age statistics was 259. The ANOVA results showed an F-value of 15.048 and a p-value < 0.001, which is less than the 5% significance level, thus supporting hypothesis H9b. The four age groups exhibited significant differences.
According to Tukey HSD multiple comparisons, all p-values were <0.001, indicating significance at the 5% level. The mean differences in intention to use at a 95% confidence interval were as follows: MD41–50 years = −1.593*, MD51–60 years = −1.543*, MD18–30 years = −1.474*, and MD31–40 years = −1.355*. These values are greater than the mean difference for the 61+ age group. Therefore, Therefore, the results confirm hypothesis H9b (see Table VII and Fig. 3).
| (Int4) Plan to use or continue using a virtual bank | |||||
|---|---|---|---|---|---|
| Descriptive statistics | ANOVA | ||||
| Age | N | Average value | Standard deviation | F | p-value |
| 18–30 | 35 | 4.00 | 0.728 | 15.048 | <0.001 |
| 31–40 | 84 | 3.88 | 0.767 | ||
| 41–50 | 92 | 4.12 | 0.850 | ||
| 51–60 | 29 | 4.07 | 0.884 | ||
| 61 or above | 19 | 2.53 | 1.073 | ||
| Total | 259 | 3.90 | 0.916 | ||
| Tukey HSD | |||||
| (I) Age | (J) Age | Mean difference [MD] (I-J) | p-value | ||
| 61 or above | 18–30 | −1.474* | <0.001 | ||
| 31–40 | −1.355* | ||||
| 41–50 | −1.593* | ||||
| 51–60 | −1.543* | ||||
Fig. 3. The intention to use among consumers with different age groups (H9b).
Single Factor Variance Analysis of Different Education Levels on Usage Intention
For hypothesis H9c, a one-way ANOVA was conducted to assess the impact of education level on usage intention with an effective sample size of 259. The ANOVA results showed a significant effect (F = 4.488, p < 0.001), supporting hypothesis H9c. Tukey HSD multiple comparisons indicated significant differences between groups, with p-values of 0.007 and 0.008, both below the 5% significance level. The mean differences in intention to use were −0.808* for secondary education and −0.807* for university education, both significantly higher than for primary education or below, confirming hypothesis H9c (Table VIII, Fig. 4).
| (Int1) Willing to use a virtual bank | |||||
|---|---|---|---|---|---|
| Descriptive statistics | ANOVA | ||||
| Education levels | N | Average value | Standard deviation | F | p-value |
| Primary school or below | 14 | 3.29 | 0.914 | 4.488 | <0.001 |
| Middle school | 75 | 4.09 | 0.825 | ||
| College | 83 | 3.89 | 0.749 | ||
| Undergraduate | 65 | 4.09 | 0.824 | ||
| Master degree or above | 22 | 3.59 | 0.908 | ||
| Total | 259 | 3.94 | 0.836 | ||
| Tukey HSD | |||||
| (I) Edu. levels | (J) Education levels | Mean differance [MD] (I-J) | Mean differance | p-value | |
| Primary school or below | Middle school | −0.808* | *Significant at the 0.05 level | <0.007 | |
| College | −0.606 | <0.077 | |||
| Undergraduate | −0.807* | <0.008 | |||
| Master degree or above | −0.305 | <0.808 | |||
Fig. 4. The intention to use among consumers with different education levels (H9c).
Single Factor Variance Analysis of Different Monthly Incomes on Usage Intention
A one-way ANOVA was conducted to analyze the intention to use among consumers with different monthly incomes, testing hypothesis H9d. The sample size for the analysis was 259. The ANOVA results showed an F-value of 2.842, with all p-values < 0.001, which is below the 5% significance level. This supports hypothesis H9d, indicating significant differences in the intention to use among the various income groups.
The mean differences in intention to use, with a 95% confidence interval, were as follows: for HK$5001–35,000, the mean difference (MD) was −0.616*; for HK$35,001–45,000, the MD was −0.722*; and for HK$45,001–55,000, the MD was −0.870*. These values were all greater than the MD for incomes of HK$15,000 or below. Therefore, the results confirm hypothesis H9d (Table IX, Fig. 5).
| (Int3) Will recommend others to use a virtual bank | |||||
|---|---|---|---|---|---|
| Descriptive statistics | ANOVA | ||||
| Monthly incomes (HK$) | N | Average value | Standard deviation | F | p-value |
| 15,000 or less | 27 | 3.00 | 1.240 | 2.842 | 0.016 |
| 15,001–25,000 | 52 | 3.52 | 0.980 | ||
| 25,001–35,000 | 86 | 3.62 | 0.828 | ||
| 35,001–45,000 | 54 | 3.72 | 0.920 | ||
| 45,001–55,000 | 23 | 3.87 | 0.757 | ||
| 55,001 or above | 17 | 3.59 | 1.004 | ||
| Total: | 259 | 3.58 | 0.951 | ||
| Tukey HSD | |||||
| (I) Monthly incomes (HK$) | (J) Monthly incomes (HK$) | Mean differance MD (I-J) | p-value | ||
| 15,000 or less | 15,001–25,000 | −0.519 | 0.181 | ||
| 25,001–35,000 | −0.616* | 0.036 | |||
| 35,001–45,000 | −0.722* | 0.015 | |||
| 45,001–55,000 | −0.870* | 0.015 | |||
| 55,001 or above | −0.588 | 0.326 | |||
Fig. 5. The intention to use among consumers with different monthly incomes (H9d).
Single Factor Variance Analysis Usage Intention Based on Previous Use of Virtual Banks
A one-way ANOVA was conducted to test hypothesis H9e, analyzing the intention to use virtual banks among consumers based on their previous usage. With an effective sample size of 259, the ANOVA results showed an F-value of 23.781 and P-values < 0.001, indicating significant differences in intention to use.
The mean differences, with a 95% confidence interval, were −0.757* for those who have never used a virtual bank and −0.733* for those who have previously used a virtual bank, both less than the MD for current users. Therefore, the results confirm hypothesis H9e (Table X, Fig. 6).
| (Int4) Plan to use or continue using a virtual bank | |||||
|---|---|---|---|---|---|
| Descriptive statistics | ANOVA | ||||
| Ever used virtual bank? | N | Average value | Standard deviation | F | p-value |
| Never used | 110 | 3.62 | 0.878 | 23.781 | <0.001 |
| Ever used | 53 | 3.64 | 0.879 | ||
| Now in use | 96 | 4.38 | 0.785 | ||
| Total | 259 | 3.90 | 0.916 | ||
| Tukey HSD | |||||
| (I) Ever used virtual bank? | (J) Ever used virtual bank? | Mean difference MD (I-J) | p-value | ||
| Now in use | Never used | 0.757* | <0.001 | ||
| Ever used | 0.733* | <0.001 | |||
Fig. 6. The intention to use among consumers based on previous use of virtual banks (H9e).
Analysis Results
The hypotheses testing results from H1 to H8 indicate a positive impact, accepting the alternative hypotheses. For consumer characteristics, there is no significant difference in intention to use based on gender (H9a). However, the remaining hypotheses (H9b–H9e) show significant differences, confirming these hypotheses. For details on the hypothesis testing model (Fig. 7).
Fig. 7. Theoretical model with analysis results. Note: ** is p < 0.01 Correlation analysis/linear regression analysis, * is p < 0.05 Independent samples t-test/one-way ANOVA.
Conclusions and Recommendations
This study used a triangulation method, combining qualitative and quantitative research, to explore factors influencing the intention to use virtual banks in Hong Kong. From literature reviews, focus groups, interviews, and surveys, 259 valid questionnaires were analyzed.
Conclusions
Findings show that users value system quality, interface design, security, service quality, and brand image. Reward systems are crucial for encouraging account openings and continued use (Reyeset al., 2018). Users prefer virtual banks with strong reputations and brand images, which influence consumer behavior through brand equity drivers like brand association and loyalty (Ansary & Nik Hashim, 2018).
Utilitarian expectations, such as convenience and efficiency, are key factors. Users seek seamless operation and fast data processing, reflecting the positive impact of system quality on usage intention (Ivanova & Noh, 2022). A user-friendly interface with features like fingerprint and facial recognition enhances satisfaction.
Moreover, trust in virtual banks and the intention to use them heavily depend on reliable security measures and the quality of services provided. Security research encompasses both technical aspects and the psychological construction of user trust (Ashfaqet al., 2020). Qualitative findings indicate some target customers are concerned about the term “virtual,” questioning the security and stability of virtual banks.
Recommendations
Academic Recommendations
Future research should examine the role of emerging technologies like AI, big data analytics, and blockchain in virtual banking (Kalyani & Gupta, 2023). This could enhance financial service processes, customer experience, and user intentions, enriching fintech literature and providing practical industry guidelines.
Managerial and Industry Recommendations
• Security and Trust: Security and stability are critical for the success of virtual banks. Trust-building in customers is essential for broader market acceptance. Research shows that many people are wary of the term “virtual” due to concerns over security and stability. It is suggested that the term “virtual bank” be replaced with “Licensed Digital Bank,” “Licensed Online Bank,” or “ Digital-only Bank.” Additionally, a comprehensive communication strategy should be employed to enhance users’ understanding and confidence in the bank’s security measures. This includes regular promotional campaigns, security education, and awareness activities, such as easy-to-understand videos across various platforms, social media safety tips, expert-hosted TV and radio segments targeting older demographics (Bansal & Choudhary, 2023), and regular “Virtual Bank Security Events” and safety update reports.
• User Interface (UI) Design: An excellent UI is crucial for virtual banks, as it is the primary platform for customer interaction. A well-designed interface enhances user experience and triggers positive “feel-good” effects (Choiet al., 2021). Companies like Microsoft, Apple, and social media platforms like TikTok and Instagram have shown that competitive advantage often boils down to superior UI/UX design (Refokus, 2020). From a cost-effectiveness perspective, investing in UI/UX is more efficient than traditional branch setups and advertising. Virtual banks should allocate more budget to UI/UX design, collaborate with renowned design firms, and establish multidisciplinary teams to support design efforts. Continuous monitoring and improvement of user interaction and satisfaction are essential to maintain a competitive edge.
• System Quality: Virtual banks should continuously enhance their system quality to ensure platform stability and efficiency, improving transaction speed and data processing capabilities. This will increase user trust, satisfaction, and loyalty. Systematic IT outsourcing (ITO) services can provide ongoing enhancements in professional technology, cost efficiency, risk management, scalability, and flexibility (Mo & Chiang, 2024).
• Reward Systems: Incentive programs can effectively increase user activity and loyalty (HKAB, 2023). Account opening rewards and high-interest deposits attract new users, while high-interest term deposits boost deposit volumes. Loyalty programs offering points, cash or spending rebates, discounts, and personalized financial products can further enhance customer retention and satisfaction. These programs should be regularly updated to maintain their appeal and competitiveness.
• Brand Building and Word-of-Mouth Marketing: Strengthening brand image can increase user recognition and trust in virtual banks. Effective WOM and eWOM marketing can elevate brand visibility and attract new users (Yip & Mo, 2020; Dharmawanet al., 2023). Virtual banks should encourage satisfied customers to share positive experiences and leverage social media and other online platforms to amplify their reach. Clear and appealing brand positioning, combined with effective online marketing strategies, can enhance brand visibility and attract potential users. Collaborating with other fintech innovators to co-develop new financial products and services can also expand business scope and enhance innovation capacity and market competitiveness.
Research Limitations and Future Directions
Despite the rigor of this study, limitations due to time and resource constraints were inevitable, providing avenues for future research. Future research should consider employing probability sampling techniques and expanding the sample size to enhance the generalizability of the findings. The theoretical framework in this study may not cover all potential factors influencing the intention to use virtual banks. Future research could explore additional factors that might impact this intention (Bangaet al., 2023) and examine how emerging technologies like blockchain and AI affect system quality and user experience in virtual banking.
References
-
ABA. (2023). American bankers association national survey: Bank customers use mobile apps more than any other channel to manage their accounts. https://www.aba.com/about-us/press-room/press-releases/consumer-survey-banking-methods-2023 (accessed on 18 April 2024).
Google Scholar
1
-
Alenizi, A. S. (2023). Understanding the subjective realties of social proof and usability for mobile banking adoption: Using triangulation of qualitative methods. Journal of Islamic Marketing, 14(8), 2027–2044.
DOI
|
Google Scholar
2
-
An, S., Eck, T., & Yim, H. (2023). Understanding consumers’acceptance intention to use mobile food delivery applications through an extended technology acceptance model. Sustainability, 15(1), 832.
DOI
|
Google Scholar
3
-
Ansary, A., & Nik Hashim, N. M. H. (2018). Brand image and equity: The mediating role of brand equity drivers and moderating effects of product type and word of mouth. Review of Managerial Science, 12, 969–1002.
DOI
|
Google Scholar
4
-
Ashfaq, M., Mustapha, I., & Irum, S. (2020). The impact of workplace spirituality on turnover intentions in Malaysian banking sector. European Journal of Molecular and Clinical Medicine, 7(3), 197–219.
Google Scholar
5
-
Banga, C., Beena, F., Manchandani, P., & Shukla, V. (2023, March). Growth and future of Neo banks-a survey. 2023 International Conference on Computational Intelligence and Knowledge Economy (ICCIKE), IEEE, pp. 467–472.
DOI
|
Google Scholar
6
-
Bankrate. (2024). Digital banking trends in 2024. https://www.bankrate.com/banking/digital-banking-trends-and-statistics/ (accessed on 18 April 2024).
Google Scholar
7
-
Bansal, N., & Choudhary, H. (2023). Growing Old in the Digital Era: A Qualitative Study of Internet Use and Outcomes Among Urban Indian Older Adults. Working with Older People.
DOI
|
Google Scholar
8
-
Business Insider. (2019). Evolution of the us neobank market: Why the top US digital-only banks are growing in the banking sector. https://www.businessinsider.com/evolution-of-the-us-neobank-market (accessed on 18 April 2024).
Google Scholar
9
-
Choi, J., Erande, Y., & Yu, Y. (2021). Winning the Digital Banking Battle in Asia-Pacific. Boston, MA, USA: Boston Consulting Group.
Google Scholar
10
-
cnbc.com. (2023). What is a neobank? Here’s what you need to know. https://www.cnbc.com/select/what-is-a-neobank/ (accessed on 18 April 2024).
Google Scholar
11
-
Dharmawan, D., Judijanto, L., Rahmi, N., & Lotte, L. N. A. (2023). Analysis of the influence of E-Word of mouth, brand image and E- Service quality on repurchase intention of digital bank customers. JEMSI (Jurnal Ekonomi, Manajemen, dan Akuntansi), 9(6), 2606–2612.
DOI
|
Google Scholar
12
-
fintechnews.hk. (2024a). Deep diving into the virtual banking scene in Hong Kong. https://fintechnews.hk/28471/virtual-banking/virtual-bank-hong-kong/ (accessed on 18 April 2024).
Google Scholar
13
-
fintechnews.hk. (2024b). Hong Kong virtual banks struggle to attract deposits. https://fintechnews.hk/25739/virtual-banking/hong-kong-&break;virtual-banks-struggle-to-attract-deposits/ (accessed on 18 April 2024).
Google Scholar
14
-
forbes.com. (2024). What is Neobanking and how does it work? https://www.forbes.com/advisor/in/banking/what-is-a-neobank/ (accessed on 18 April 2024).
Google Scholar
15
-
Hausken-Sutter, S. E., Boije af Gennäs, K., Schubring, A., Grau, S., Jungmalm, J., & Barker-Ruchti, N. (2023). Interdisciplinary sport injury research and the integration of qualitative and quantitative data. BMC Medical Research Methodology, 23(1), 110.
DOI
|
Google Scholar
16
-
HK01. (2024). HK01 News-The Hong Kong Monetary Authority pointed out that virtual banks’ net losses narrowed by 14% last year, with 2.2 million customers and deposits of HKD37 billion. https://www.hk01.com/%E8%B2%A1%E7%B6%93%E5%BF%AB%E8%A8%8A/986694/ (accessed on 18 April 2024).
Google Scholar
17
-
HKAB. (2023). The Hong Kong association of banks: Virtual banks’ efficient and innovative services attract public adoption-high deposit interest rates, rewards for opening an account and convenience to use were also key factors. https://www.hkab.org.hk/en/news/press-release/277 (accessed on 18 April 2024).
Google Scholar
18
-
HKCSD. (2024). Census and statistics department of Hong Kong-estimated population of Hong Kong at the end of 2023. https://www.censtatd.gov.hk/en/scode150.html & https://www.censtatd.gov.hk/en/scode150.html (accessed on 18 April 2024).
Google Scholar
19
-
HKMA. (2018). Banking regulatory and supervisory regime-virtual banks. https://www.hkma.gov.hk/eng/key-functions/banking/banking-regulatory-and-supervisory-regime/virtual-banks/ (accessed on 18 April 2024).
Google Scholar
20
-
HKMA. (2019). Hong Kong monetary authority-granting of virtual banking licences. https://www.hkma.gov.hk/chi/news-and-media/press-releases/virtual-banks (accessed on 18 April 2024).
Google Scholar
21
-
Hsu, C. L. (2023). Enhancing brand love, customer engagement, brand experience, and repurchase intention: Focusing on the role of gamification in mobile apps. Decision Support Systems, 174, 114020.
DOI
|
Google Scholar
22
-
Islami, V., Rizan, M., Wibowo, S. F., & Sebayang, K. D. A. (2023). Study of service quality, trust and brand image on customer satisfaction and customer loyalty of beauty clinic consumers: Literature review. Journal of Law, Social Science and Humanities, 1(2), 105–111.
Google Scholar
23
-
Ivanova, A., & Noh, G. (2022). The impact of service quality and loyalty on adoption and use of mobile banking services: Empirical evidence from central asian context. The Journal of Asian Finance, Economics and Business, 9(5), 75–86.
Google Scholar
24
-
Kalyani, S., & Gupta, N. (2023). Is artificial intelligence and machine learning changing the ways of banking: A systematic literature review and meta analysis. Discover Artificial Intelligence, 3(1), 41.
DOI
|
Google Scholar
25
-
Kamdjoug, J. R. K., Wamba-Taguimdje, S. L., Wamba, S. F., & Kake, I. B. E. (2021). Determining factors and impacts of the intention to adopt mobile banking app in Cameroon: Case of SARA by afriland First Bank. Journal of Retailing and Consumer Services, 61, 102509.
DOI
|
Google Scholar
26
-
Likert, R. (1932). A Technique for the Measurement of Attitudes. Archives of Psychology.
Google Scholar
27
-
Lindström, V., & Nilsson, O. (2023). The sudden rise of neobanks and the threat it poses upon the traditional banking system. https://www.diva-portal.org/smash/record.jsf?pid=diva2%3A1763436&dswid=-8976 (accessed on 18 April 2024).
Google Scholar
28
-
Marsasi, E. G., Albari, A., & Muthohar, M. (2023). How utilitarian motivation and trust can increase intention to use based on functional attitude theory. International Journal of Professional Business Review, 8(12), 8.
DOI
|
Google Scholar
29
-
Matousek, R., & Xiang, D. (2021). The challenges and competitiveness of fintech companies in Europe, UK and USA: An overview. In The Palgrave handbook of FinTech and blockchain (pp. 87–107).
DOI
|
Google Scholar
30
-
Merhi, M., Hone, K., Tarhini, A., & Ameen, N. (2021). An empirical examination of the moderating role of age and gender in consumer mobile banking use: A cross-national, quantitative study. Journal of Enterprise Information Management, 34(4), 1144–1168.
DOI
|
Google Scholar
31
-
Mo, W. Y., & Chiang, R. C. W. (2024). A study on contributing factors of IT outsourcing satisfaction financial service industry in Hong Kong. European Journal of Business and Management Research, 9(2), 56–65.
DOI
|
Google Scholar
32
-
Nagy, S., Molnár, L., & Papp, A. (2024). Customer adoption of neobank services from a technology acceptance perspective-evidence from hungary. Decision Making: Applications in Management and Engineering, 7(1), 187–208.
DOI
|
Google Scholar
33
-
Norman, D. (2013). The Design of Everyday Things. Revised and expanded edition. Basic Books.
Google Scholar
34
-
Parasuraman, A., Zeithaml, V. A., & Berry, L. L. (1988). SERVQUAL: A multiple-item scale for measuring consumer perceptions of service quality. Journal of Retailing, 64(1), 12–40.
Google Scholar
35
-
Parker, C., Scott, S., & Geddes, A. (2019). Snowball Sampling. SAGE Research Methods Foundations.
Google Scholar
36
-
Pearson, K. (1895). X. Contributions to the mathematical theory of evolution.—II. Skew variation in homogeneous material. Philosophical Transactions of the Royal Society of London.(A.), 186, 343–414.
DOI
|
Google Scholar
37
-
Rakib, M. R. H. K., Pramanik, S. A. K., Al Amran, M., Islam, M. N., & Sarker, M. O. F. (2022). Factors affecting young customers’ smart-phone purchase intention during Covid-19 pandemic. Heliyon, 8(9), e10599. https://doi.org/10.1016/j.heliyon.2022.e10599.
DOI
|
Google Scholar
38
-
Refokus (2020). The power of investing in design. https://www.refokus.com/news/the-power-of-investing-in-design (accessed on 18 April 2024).
Google Scholar
39
-
Reyes, G. I., Nieto, E. S. D., & Pèrez, G. I. (2018). Brand image as competitive advantage. In Competition forum (Vol. 16, No. 1, pp. 142–153). American Society for Competitiveness.
Google Scholar
40
-
Sardar, S., & Anjaria, K. (2023). The future of banking: How neo banks are changing the industry. International Journal of Management, Public Policy and Research, 2(2), 32–41.
DOI
|
Google Scholar
41
-
Schoonenboom, J. (2023, January). The fundamental difference between qualitative and quantitative data in mixed methods research. In Forum Qualitative Sozialforschung/Forum: Qualitative Social Research, 24(1), 11.
Google Scholar
42
-
Shanti, R., Siregar, H., & Zulbainarni, N. (2024). Revolutionizing banking: Neobanks’ digital transformation for enhanced efficiency. Journal of Risk and Financial Management, 17(5), 188.
DOI
|
Google Scholar
43
-
Simon-Kucher. (2022). Worldwide Neobank launches, liquidations, acquisitions and pending launches. https://www.simon-kucher.com/sites/default/files/WP_Neo-Banking_A4_Digital_CBU.pdf (accessed on 18 April 2024).
Google Scholar
44
-
Srivastava, S., Mohta, A., & Shunmugasundaram, V. (2024). Adoption of digital payment FinTech service by Gen Y and Gen Z users: Evidence from India. Digital Policy, Regulation and Governance, 26(1), 95–117.
DOI
|
Google Scholar
45
-
Statista. (2024a). Digital banks, alternatively referred to as challenger, online, digital-only, disruptor or neobanks. https://www.statista.com/topics/8098/digital-challenger-banks/#topicOverview (accessed on 18 April 2024).
Google Scholar
46
-
Statista. (2024b). Statista market insights-neobanking-worldwide. https://www.statista.com/outlook/dmo/fintech/neobanking/worldwide (accessed on 18 April 2024).
Google Scholar
47
-
Tavakol, M., & Dennick, R. (2011). Making sense of Cronbach’s alpha. International Journal of Medical Education, 2, 53.
DOI
|
Google Scholar
48
-
Tukey, J. W. (1949). Comparing individual means in the analysis of variance. Biometrics, 5, 99–114.
DOI
|
Google Scholar
49
-
Venkatesh, V., Morris, M. G., Davis, G. B., & Davis, F. D. (2003). User acceptance of information technology: Toward a unified view. MIS Quarterly, 27(3), 425–478. https://doi.org/10.2307/30036540.
DOI
|
Google Scholar
50
-
Xu, F., Huang, S. S., & Li, S. (2019). Time, money, or convenience: What determines Chinese consumers’ continuance usage intention and behavior of using tourism mobile apps? International Journal of Culture, Tourism and Hospitality Research, 13(3), 288–302.
DOI
|
Google Scholar
51
-
Yip, W. S., & Mo, W. Y. (2020). An investigation of purchase intention of using mobile Apps for online traveling and booking service. International Journal of Innovation, Management and Technology, 11(2), 46–50.
DOI
|
Google Scholar
52





